奥特曼融合激战是一款以奥特曼为主题的动作格斗类手游。游戏中汇聚了众多经典奥特曼角色,每位战士都具备专属技能与独特属性,玩家可根据战场局势及怪兽特性灵活切换出战角色。通过搭配不同装备与专属武器,可显著提升奥特曼的作战能力,在多样化的战斗场景中展开紧张刺激的对决。
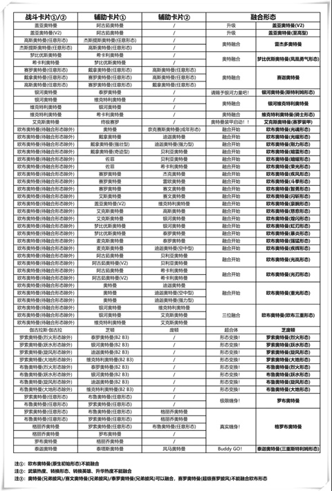
奥特曼融合激战合体列表
使用方法:合体成员中一位作为主战角色,其余作为辅助卡参与合体。
例如:欧布与伽古拉作为出战角色,泰罗和梦比优斯作为辅助卡,即可触发欧布暴炎形态。
扫描顺序依次为:欧布、伽古拉、泰罗、梦比优斯。

注意:必杀技能量充满后方可启动合体机制。每位角色仅能合体一次,合体完成后无法还原至原始形态。若出战角色已处于合体状态,则无法再次进行合体操作。

奥特合体:
高斯与杰斯提斯组合可召唤雷杰多。
(两者位置可互换)

梦比优斯与希卡利联手可激活梦比优斯凤凰形态。
(两者位置可互换)

赛罗、高斯与戴拿三人协同可释放赛伽形态。
(三者位置可互换,其中赛罗与戴拿任意形态均可参与合体)

银河与维克特利融合可形成银河维克特利。
(两者位置可互换,但维克特利仅限普通形态参与)

维克特利、希卡利与维克特利骑士共同激活特殊合体。
(位置不可互换,必须由维克特利担任出战角色)

罗索与布鲁合体可召唤罗布形态。
(两者位置可互换,且罗索与布鲁所有形态均支持合体)

罗索、布鲁与格里桥三者联合可触发格罗布形态。
(三者位置可互换,罗索与布鲁全形态均可参与)

装甲搭载:
艾克斯与究极赛罗组合可激活艾克斯究极赛罗装甲。
(位置不可互换,仅限艾克斯作为出战角色,且必须为普通形态;赛罗则必须为究极赛罗形态)

超合体:
伽古拉斯伽古拉、杰顿与庞顿融合可召唤杰庞顿。
(位置不可互换,伽古拉早期型无法参与该合体)

奥特曼融合激战进阶攻略大全
游戏版本进化——

卡片稀有度——

各弹CP卡刷取效果——

属性克制——

全角色属性及爆发类型——

战斗及辅助技能——

开局固有牵绊——

固有牵绊详细加成——

同人牵绊——

牵绊必杀技——

奥特融合及合体——

转换槽及必杀槽——

奥特曼融合激战游戏亮点
完成奥特曼之间的热血对决,掌握多样化的战斗技巧,迎接风格各异的挑战任务。
自由布置战术策略,释放炫目华丽的技能特效,让每一场战斗都充满视觉冲击力。
面对实力强劲的超级怪兽对手,每一次交锋都充满未知与激情,战斗远比想象中更加激烈。
奥特曼融合激战更新日志
v2.0.0版本
修复了已知bug



